10月11日,Nature出版集团子刊Scientific Reports在线发表了南京医科大学Li Yan团队的一项重要环状RNA研究成果,介绍开发了首个汇总可编码蛋白的环状RNA的数据库:circRNADb。

文中作者通过汇总整理,共收集了32914条人类外显子环状RNA记录,每条记录都包括基因组位置信息,RNA编辑情况,所对应的基因组序列,IRES序列元件,预测的ORF以及相关的参考文献。作者发现了有16328条环状RNA包含了编码超过100个氨基酸的ORF,其中7170种环状RNA存在IRES序列元件,基本符合翻译蛋白的特征(Chen et al., 2016)。
备注:IRES是internal ribosome entry site的简写,是一种具备募集核糖体并实现核糖体组装和后续阅读框翻译蛋白的RNA调控元件。ORF是Open Reading fr ame的简写,指的是对应于蛋白氨基酸序列的密码子序列,从ATG其实密码子开始,到终止密码子结束。值得一提的是,不是每个ORF都有机会翻译出蛋白质的,还需要有上游的核糖体募集组装以及一些翻译调控元件的存在才可以,IRES就是一类特殊的翻译调控元件。
数据如何收集整理的?
作者通过系统汇总整理已发表的环状RNA相关的组学研究报道,超过两条正确mapping的Reads才作为有效的环状RNA。本文作者参考的背景研究工作如下:
图1 整理本数据库所参考的组学研究报道(来自(Chen et al., 2016))
作者利用Chung-Yung Chen 2013年发表的一个在线工具VIPS预测IRES元件(Hong et al., 2013)。
预测IRES的过程中用到了三个工具包:RNALfold (版本号2.1.9)、RNA Align (VIPS数据库开发者开发的)及pknotsRG (版本号 1.3) 。
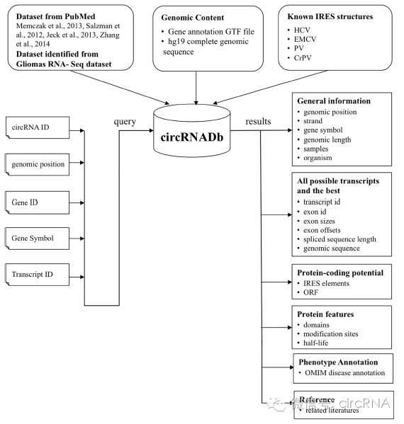
作者设置了大于300bp的ORF作为预测ORF的标准,即对应于多肽序列超过100个氨基酸。对于所预测的多肽序列,作者首先利用SMART,NetNGlyc 1.0等等在线工具预测其结构域和修饰等常规预测分析。作者还在PRIDE数据库等开放的蛋白质组数据库中找到了所以测的多肽对应的质谱分析信息。数据库数据整理与分析的流程如下
图2 circRNADb数据库信息整理流程 (来自(Chen et al., 2016))
该数据库的界面清晰,设计比较人性化,设计了通过基因名称(Gene symbol),PubMed ID及细胞或组织类型三种检索途径,满足不同客户的需求。
图3 circRNADb数据库首页
文中以hsa_circ_07894为例,介绍了具体的单个环状RNA记录中详细的信息。每个记录包括了基本信息和具体信息两部分,基本信息一栏包含了所对应基因的ID号,基因组序列,链特征,基因名称,组织和细胞来源信息等。具体信息一栏包含了该环状RNA的外显子序列和信息,RNA剪接序列长度,环状RNA的序列信息,IRES和ORF对应信息,预测多肽的基本特征,对应的疾病信息及参考文献。
图 4 circRNADb数据库单个记录页面截图(ID: hsa_circ_07894)(来自(Chen et al., 2016))
这一数据库提供了一个非常有用的环状RNA研究工具,但本文所引用的文献还没有完全涵盖目前所有的环状RNA研究报道,文中也人为设置了大于300bp(100个氨基酸)作为ORF预测的标准,一定程度限制了该数据库的全面性。相信作者会在后续的工作中逐步完善,使得该数据库能更好的服务广大同行。大家在面对具体的研究对象时也不妨参考一下本文作者的思路,预测分析一下所感兴趣的环状RNA是否携带IRES和ORF。
通过该数据库,我们隐约感受到了环状RNA的一个重大研究方向:预测与验证编码多肽的功能!山人认为这将是环状RNA未来重要的研究方向。从数据库的信息来看,是否携带特殊RNA元件是环状RNA研究的又一重要思路。因此诸位环状RNA研究的同仁们也可以从序列特征分析的角度探索所感兴趣的环状RNA可能的新功能模型,或许会有意想不到的收获!(生物谷Bioon.com)